I am gonna try and do something a bit technical so, this is gonna be a bit fast paced.
It has been 235 years since, Charles Coulomb published his famous law of electric forces. Force between two charges is directly proportional to the charges and inversely proportional to square of distance between them and acts along the line joining the two charges. . k is a constant of proportionality. So, the two charges just see each other and go like, bro, I see you, I feel you and I am accelerate towards you. Just like that ? It help to think of it as a two step process.
Step 1 : The first charge q creates a fluid around it. The strength of this fluid goes down as . All the stuff that q wants to do, it does it through this fluid.
Step 2 : When another charge enters the picture, it just feels pull or push through this fluid. This fluid has a sense of direction. It doesn’t turn on right-indicator and cut into the left lane. I can also add all these fluids together and make a new fluid. This fluid corresponds to what we call a charge distribution .
Another thing about this fluid E is that, this fluid diverges, means flows outwards and follows a law while doing it. The Gauss law or Gauss flux theorem, . I am ignoring all constants in the truest spirit of physics. But, this fluid doesn’t curl. So, we can assign some kind of a scalar function, function that has no sense of direction, to this fluid too. I define this function as potential
.
Now, moving onto magnetic fields. Do all the above arguments for currents instead of charges. Magnetic fields, however, cannot diverge like electric fields but can curl, unlike electric fields. I define another potential, this time a vector A, .
Now is the mind-fuck part. All of these are frame dependent. I am in a frame where I and charge are at rest. Only electric fields. Now, I feel like running and as I run I look at the charge; it seems to be moving away from me. Whatever effects the electric field caused when I was at rest, are being performed by magnetic fields now. Like Zayn Malik says, vas happenin ? (I will never forgive you for leaving one-direction ZAYN!!!!)
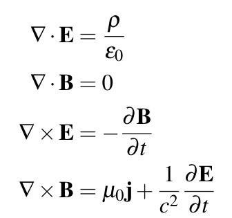
The real thing that is going on, is the fact that Electric and Magnetic fields are a part of a much bigger force. The Electro-Magnetic force or the Lorentz force. . As I move through frames, the Electric and Magnetic components mix with each other. This force obeys a set of four equation, the Maxwell’s equations.

All the constants you see in those equation parametrize the media. This equations also use a special something. The constant c which is the speed of light in vacua. So, light is noting but an electro-magnetic effect.
Albert Einstein, the genius a.k.a King of Nerds (fuck you steve jobs) made his startling postulate of Relativity. Nothing can travel faster than vacuum speed of light. When we had a discussion about these special fluids, we low key implied something. As soon as a charge gets into this fluid, it experiences a force, instantaneously. This is wrong. The effect cannot be instantaneous.
What happens is just awesome piece of Quantum Field Theory. This is called as a virtual photon exchange. When an electron sees another electron, it emits a virtual photon, this photon gets absorbed by the other electron and the second electron gets repelled. Signal travels at the speed of photon which is light particle, so QFT can save face when Einstein confronts him or her or they\them.
All laws of physics should be written invariant of the frame of reference. Technically, all laws of physics should be Lorentz Invariant. To explain, what that means, I need to get into Special Relativity and Tensors. Let’s keep that away from some time. From here, we will rarely get into math. Remember one thing, SR is correct. At higher speeds of motion, energy and mass are redundant concepts. Think about it, if I can pour a lot of energy into a place, I can create particles out of it. This is an experimental fact. Particles are mass and they come out of energy !!?
Let’s talk about gravity. Newton’s law, inversely proportional to distance squared etc. But, that only is a low-energy limit of General Relativity. What GR says is this; A massive body curves the space around it. So, if you were standing near it, you will start falling towards it. The amount of curvature is proportional to the mass density. If your mass density is small, you need not worry about the corrections that GR presents. In real world, in real earth, I can forget GR. You are not completely correct, GPS works based on GR. Oh and , acceleration and gravity are the same thing. Google these things.
In order to talk about curvature, we use something known as a metric space. Such space come along with a well defined notion of distance. Our world is a metric space. This information is encoded in a tensor called a metric, . These
indices each run over 4 values. Our world is 4-Dimensional, 3 spatial and 1 temporal dimensions.
If you have a function, how would you tell how curvy that function is ? We would take a derivative. That should tell us how the function is shaped. But, there is catch. Say a function has a highest or/and lowest point. At the top/bottom, it would look flat. The derivative would have zero value. Because there is no change happening there. What do we do ? We just take another derivative. Second derivative will give you information about all such shapes. Provided your function is continuous and at least twice differentiable. In our curvature physics, we are usually dealing with diffeomorphisms. Just a fancy word for infinitely differentiable.
We construct such objects out of our . The Riemann Curvature Tensor is made of second order terms of
,
. Our
is a
symmetric matrix. Riemann Tensor
is
matrix. It has some symmetries too. With matter in the picture, I define another object called as the Einstein Tensor,
and Energy Momentum tensor of matter
. This is the essence of GR.
So, a mass creates physical curvature and another object slides along the curvature and at low-energy/mass limits, the curvature looks newtonian. Beautiful. This is a long ass post and if you are with me so far, I salute you.
I am going to jump back to EM for a moment. I construct an object called 4-potential . Using this one, I can construct an anti-symmetric object,
. This encodes all information about E, B.
These quantities make curvature in a space. These spaces are called as Fibre-Bundles. Movement of charge is defined by these . These
are also known as affine connections in literature.
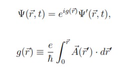
In a curved space we can construct a simple thought experiment. We can take vector and move it along a curved path. Naturally, its direction of pointing would change. If we take it through a closed loop, it would arrive at the starting point with a different pointing direction, with a phase difference. This gives rise to notion of a quantity known as a parallel propagator. It acts on the initial vector and gives us the final vector.


Take an electron. Move it in a closed circle around a current-carrying wire. When it comes back, the wave function of electron will have a phase difference. This is known as Berry Phase or Aharanov-Bohm effect.

Look at how strikingly analogous they are !!! Just beautiful. This form of result is not limited to this. If I take a color charge (quark) and move it through a field of gluons, I will get the same result.
These class of theories are called a Gauge Theories. A mathematically rich subject. Such concept of propagators in Gauge theories are reformulated in terms of Wilson loops and lines.
All fundamental fields, gravity, electromagnetism, weak and strong forces all are Gauge fields. It is a beautiful and rich piece of mathematics called Differential Geometry, which we physicists have high-jacked.
So much so that, we even got a Physicist to win Fields Medal for it. I am talking about